公募REITs2024年报披露,市场表现亮眼,资产类型持续扩容
AI导读:
2024年,沪深两市上市的51只公募REITs先后披露了年报,其中39只REITs实现了营收和净利润双增长,分红总额达到83.87亿元。REITs市场持续高温,二级市场溢价凸显,投资者青睐有加。同时,REITs发行提速,资产类型持续扩容,未来市场前景广阔。
界面新闻记者 | 杜萌
日前,沪深两市上市的51只公募REITs(不动产投资信托基金)先后披露了2024年年度报告,这也是REITs信披指引发布后的首次年报。2024年,REITs市场表现亮眼,吸引了众多投资者的目光。
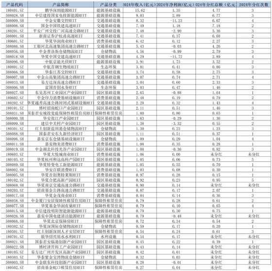
总体来看,2024年有39只REITs实现了营收和净利润的双增长,其中鹏华深圳能源REIT收入最高,达到了15.62亿元,净利润为1.35亿元。REITs作为单独大类资产的优势特性愈发凸显。
2024年,共有42只REITs进行了分红,分红总额达到83.87亿元,其中国金中国铁建高速REIT分红最多,为7.18亿元。REITs的盈利能力得到进一步验证。

表:51只REITs2024年营收和净利润明细来源:Wind 界面新闻整理
从项目的底层资产来看,沪深两市共有12只高速公路基础设施REIT,2024年分红为44.33亿元,是当之无愧的“现金牛”。其中,除了国金中国铁建高速REIT之外,浙商证券沪杭甬高速REIT、平安广州交投广河高速公路REIT在2024年的分红均超过了5亿元。
园区基础设施领域的REITs在2024年的经营情况依旧面临较大的压力。中金联东科技创新产业园REIT、东吴苏州工业园区产业园REIT等5只REITs在2024年的净利润为负数。但园区正在通过各类运营措施努力提高出租率。
7只消费类REITs2024年的营收和净利润均为正,其中华夏华润商业REIT的营收最高,为6.42亿元,净利润为0.12亿元。消费类REITs展现出强劲的增长势头。
作为扩容后的创新型产品,6只保租房REITs2024年均实现收入和净利润为正。其中国泰君安城投宽庭保障性租赁住房REIT营收为1.8亿元,净利润0.8亿元。保租房REITs的资产出租率平均达到95%。
从发行日期来看,REITs发行提速,2024年发行的REITs数量最多,达到29只,占比超44%。作为首支水利设施REIT,银华绍兴原水水利REIT2024年的营收、净利润分别为0.54亿元、0.17亿元。
在货币政策宽松、无风险利率下行的背景下,REITs受到了更多投资者的青睐。REITs市场“高温”持续,二级市场溢价凸显。截至4月17日,中证REITs全收益指数今年以来收益率为11.11%。
公募REITs频频“卖爆”,很大程度上源于其稀缺性和打新收益。长期来看,公募REITs市场必将逐渐回归理性,但短期来看,打新策略胜率及赔率仍较高。
公募REITs的股息率一般高于国债收益率,为投资者提供了可能获得更高和更确定收益的投资选择。同时,多项REITs相关政策的发布,也支持REITs常态化发行与加速扩容与扩围。
证监会网站显示,目前有11只REIT已经向证监会递交了材料,等待获批。4月17日,凯德投资向证监会申报了旗下首支中国消费基础设施公募REIT——凯德商业C-REIT,这也是国内首单外资消费类公募REIT。
凯德投资(中国)首席执行官潘子翔表示,中国的公募REITs市场有望迎来更广阔的发展前景。消费基础设施公募REITs不仅能优化消费场景,还能促进消费升级。
广发成都高投产业园REIT基金经理杜金鑫表示,未来将有更多新的资产类型上市,公募REITs的底层资产范围或进一步拓展。中金基金认为,2025年REITs市场规模有望继续扩大。
(文章来源:界面新闻)
郑重声明:以上内容与本站立场无关。本站发布此内容的目的在于传播更多信息,本站对其观点、判断保持中立,不保证该内容(包括但不限于文字、数据及图表)全部或者部分内容的准确性、真实性、完整性、有效性、及时性、原创性等。相关内容不对各位读者构成任何投资建议,据此操作,风险自担。股市有风险,投资需谨慎。如对该内容存在异议,或发现违法及不良信息,请发送邮件至yxiu_cn@foxmail.com,我们将安排核实处理。